Superintendência da Casa Civil e Articulação Política

LEI Nº 10.498, DE 05 DE AGOSTO DE 2020

Dispõe sobre as diretrizes para a elaboração da Lei Orçamentária para o exercício de 2021 e dá outras providências.

A CÂMARA MUNICIPAL DE GOIÂNIA, Estado de Goiás, aprova e eu, PREFEITO MUNICIPAL, sanciono a seguinte Lei:

DISPOSIÇÕES PRELIMINARES

Art. 1º Ficam estabelecidas, nos termos desta Lei, em cumprimento ao disposto no art. 165, § 2º, da Constituição Federal, na Lei Complementar Federal nº 101, de 04 de maio de 2000 e no art. 136, § 2º, da Lei Orgânica do Município de Goiânia, as diretrizes gerais e as metas e prioridades para a elaboração do orçamento do Município de Goiânia, relativas ao exercício financeiro de 2021, compreendendo:

I - as prioridades e metas da Administração Pública Municipal;

II - a estrutura e organização do orçamento;

III - as diretrizes para elaboração do orçamento municipal e suas alterações;

IV - as disposições relativas às despesas com pessoal e encargos sociais;

V - as normas de execução do orçamento;

VI - as disposições sobre alterações na legislação tributária do Município e;

VII - as disposições gerais.

CAPÍTULO I

DAS METAS E PRIORIDADES DA ADMINISTRAÇÃO PÚBLICA MUNICIPAL

Art. 2º As metas e prioridades da Administração Pública Municipal serão estabelecidas em conformidade com o Plano Plurianual e estão especificadas no ANEXO I que integra esta Lei.

Art. 3º As prioridades elencadas terão precedência na alocação de recursos, não se constituindo, todavia, limites à programação das despesas na elaboração do Orçamento para o exercício financeiro de 2021.

Art. 4º Os projetos em fase de execução, desde que validados à luz das prioridades estabelecidas nesta Lei, terão preferência sobre os novos projetos.

Art. 5º A manutenção de atividades e de serviços terá prioridade sobre as ações de expansão.

Art. 6º Integram a presente Lei, conforme disposto no art. 4º, §§ 1º ao 3º, da Lei Complementar Federal nº 101/2000, o Anexo II, que são as Metas Fiscais, estabelecidas em observância às regras sobre a responsabilidade fiscal, com os seguintes Demonstrativos:

I - Demonstrativo das Metas Anuais em valores correntes e constantes;

II - Demonstrativo da Avaliação do Cumprimento das Metas Fiscais do exercício anterior;

III - Demonstrativo das Metas Atuais comparadas com as fixadas nos três exercícios anteriores;

IV - Demonstrativo da Origem e Aplicação dos recursos obtidos com a alienação de ativos;

V - Demonstrativo da Evolução do Patrimônio Líquido;

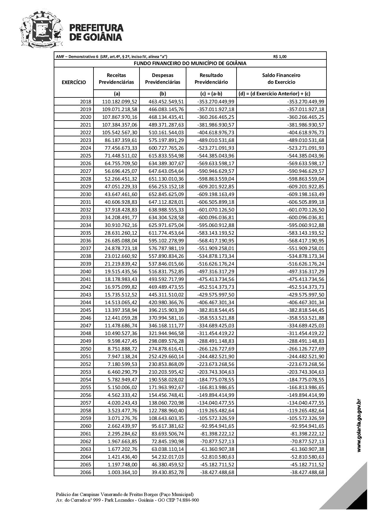
VI - Demonstrativo da Avaliação da Situação Financeira e Atuarial do RPPS e Projeção atuarial do Regime Próprio de Previdência dos Servidores;

VII - Demonstrativo da Estimativa e Compensação da Renúncia de Receitas;

VIII - Demonstrativo da Margem de Expansão das Despesas Obrigatórias de Caráter Continuado;

Art. 7º Os Riscos Fiscais no qual são avaliados os passivos contingentes e outros riscos que possam afetar as contas públicas, bem com as medidas que serão tomadas para saná-los caso se concretizem se apresentam no Anexo III, desta Lei.

CAPÍTULO II

DA ESTRUTURA E ORGANIZAÇÃO DO ORÇAMENTO

Art. 8º A elaboração da Lei Orçamentária deverá pautar-se pela transparência da gestão fiscal, observando-se o princípio da publicidade e permitindo-se o amplo acesso da população do município às informações relativas às suas diversas etapas.

Art. 9º Os Orçamentos Fiscal e da Seguridade Social compreenderão a programação dos Poderes do Município, abrangendo todas as Entidades, Fundos e Órgãos da Administração Direta e Indireta a eles vinculados, devendo a correspondente execução orçamentária e financeira ser registrada na sua totalidade em sistema consolidado e integrado.

Parágrafo único. O Poder Legislativo encaminhará suas respectivas propostas orçamentárias à Superintendência de Planejamento Governamental, da Secretaria de Finanças, por meio de sistema consolidado e integrado de elaboração orçamentária.

Art. 10. A Lei Orçamentária será apresentada na forma e com o detalhamento indicado no Art. 15, § 1º da Lei 4320, de 17 de março de 1974 e atenderá ao previsto na Lei Complementar nº 101/2000, que estabelece as normas de finanças públicas voltadas para a responsabilidade fiscal.

Parágrafo único. A receita e a despesa orçamentárias serão estruturadas de acordo com o disposto no Manual de Contabilidade Aplicada ao Setor Púbico (MCASP), publicado em 18/12/2018 e nas normas editadas pela Secretaria do Tesouro Nacional, do Ministério da Economia; bem como nas Instruções Normativas editadas pelo Tribunal de Contas dos Municípios do Estado de Goiás (TCMGO).

Art. 11. A Lei Orçamentária do Município é o próprio texto da lei e os anexos, contendo os demonstrativos relacionados a seguir e que se constituem no orçamento consolidado da Administração Direta e seus fundos, entidades autárquicas e fundacionais.

Parágrafo único. O Projeto de Lei Orçamentária Anual (LOA) que será encaminhado pelo Poder Executivo ao Poder Legislativo conterá os seguintes anexos:

I - Demonstrativo da Despesa por Órgãos e Categorias Econômicas;

II - Sumário Geral da receita por fontes e da despesa por função de governo;

III - Demonstrativo da Receita e Despesa segundo as categorias econômicas;

IV - Tabelas Explicativas da Evolução da Receita e Despesa;

V - Receita Segundo as Categorias Econômicas (Anexo 02 da Lei 4.320/64);

VI - Legislação da Receita;

VII - Demonstrativo Regionalizado do Efeito sobre as Receitas e Despesas decorrentes de Isenções, Anistias, Remissões, Subsídios e Benefícios de Natureza Financeira, Tributária e Creditícia (art. 136, § 6º da Lei Orgânica do Município);

VIII - Descrição sucinta das principais finalidades de cada unidade administrativa, com indicação da respectiva legislação;

IX - Demonstrativos da Receita e Planos de Aplicação dos Fundos Especiais;

X - Demonstrativo da Compatibilidade da Programação dos orçamentos com as metas constantes do anexo de metas fiscais (art. 5º, inciso I, da LC 101/2000);

XI - Consolidação dos Orçamentos;

XII - Demonstrativo da Natureza da Despesa segundo as categorias econômicas - Consolidação Geral (Anexo 2 da lei 4.320/64);

XIII - Demonstrativo da Natureza da Despesa segundo as categorias econômicas por órgão (Anexo 2 da lei 4.320/64);

XIV - Demonstrativo de Programa de Trabalho (Anexo 6 da Lei 4320/64);

XV - Demonstrativo de Funções, Subfunções e Programas por projetos e atividades (Anexo 7 da Lei 4320/64);

XVI - Demonstrativo de Funções, Subfunções e Programas conforme vínculo com as fontes de recursos (Anexo 8 da Lei 4320/64);

XVII - Demonstrativo da Despesa por Órgãos e Funções (Anexo 9 da lei 4.320/64);

XVIII - Quadro Demonstrativo do Programa Anual de Trabalho do Governo em termos de realização de obras e de prestação de serviços.

Art. 12. A Secretaria Municipal de Finanças publicará junto à Lei Orçamentária Anual os quadros de detalhamento das despesas, especificando por projetos, atividades e operações.

CAPÍTULO III

DAS DIRETRIZES PARA ELABORAÇÃO DO ORÇAMENTO MUNICIPAL

Art. 13. Em cumprimento ao disposto no “caput” e na alínea “e” do inciso I do art. 4º da Lei Complementar Federal nº 101/2000, a alocação dos recursos na Lei Orçamentária será feita de forma a propiciar o controle de custos das ações e a avaliação dos resultados dos programas de governo.

Art. 14. As despesas relativas ao pagamento de inativos, juros, encargos e amortização da dívida pública, precatórios, sentenças judiciais e outras, às quais não se possam associar um bem ou serviço ofertado diretamente à sociedade e que, por isso, não constam no Plano Plurianual, deverão ser incluídas na Lei Orçamentária para 2021 como operações especiais, conforme estabelece a Portaria nº 42, de 14 de abril de 1999, do Ministério do Orçamento e Gestão.

Art. 15. As ações que constituam despesas de natureza tipicamente administrativa e outras que, embora contribuam para a consecução dos objetivos dos programas finalísticos e de gestão de políticas públicas, não sejam passíveis de apropriação aqueles programas, serão orçadas e apresentadas no orçamento de 2021 em programas de Apoio Administrativo.

Art. 16. Na estimativa das receitas serão considerados:

I - os efeitos das modificações na legislação tributária e incentivos fiscais autorizados, que serão objeto de Projetos de Lei a serem enviados ao Poder Legislativo antes do encerramento do atual exercício financeiro.

II - a inflação do período projetada para o exercício financeiro do orçamento;

III - as variáveis econômicas para o exercício financeiro do orçamento;

IV - a ampliação da base de cálculo dos tributos para o exercício financeiro.

Art. 17. O Projeto de Lei Orçamentária Anual poderá computar na receita as operações de crédito autorizadas por lei específica, nos termos do § 2º do artigo 7º da Lei 4320/1964, observando o disposto no § 2º dos artigos 12 e 32 da Lei Complementar 101/2000 e no inciso III do “caput” do artigo 167 da Constituição Federal, observando também os limites e condições fixados pelo Senado e cuja execução estará condicionada à efetiva realização da receita, bem como os recursos das operações de créditos a contratar projetados para o período.

Parágrafo único. As operações de crédito que forem contratadas após a aprovação do projeto de Lei Orçamentária serão incorporadas ao orçamento através de credito adicional de natureza suplementar.

Art. 18. É vedada a utilização das Receitas de Capital derivadas da alienação de bens e direitos que integram o patrimônio público para o financiamento de despesas correntes, salvo se destinadas, por lei, a Fundo de Previdência de Servidores, conforme o disposto no art. 44, da Lei Complementar Federal nº 101/2000.

Art. 19. A estimativa da receita do Tesouro Municipal será realizada pela Secretaria Municipal de Finanças.

Art. 20. As estimativas das receitas de convênios e instrumentos congêneres deverão ser informadas à Secretaria Municipal de Finanças pelos órgãos e entidades conveniados, considerando o cronograma de liberação de recursos para o exercício de 2021, bem como as propostas em andamento protocoladas junto a órgãos federais e outras entidades.

Art. 21. As despesas cujas fontes de custeio sejam provenientes de Operações de Crédito, Convênios e instrumentos congêneres somente serão efetivadas com a assinatura dos atos e o consequente ingresso do recurso.

Art. 22. A previsão das despesas com juros, encargos e amortizações da dívida deverão considerar as operações de crédito contratadas e a contratar, bem como as autorizações concedidas até a data do encaminhamento do projeto de Lei Orçamentária ao Poder Executivo.

Art. 23. Os investimentos com duração superior a 12 (doze) meses somente constarão da Lei Orçamentária Anual se contemplados no Plano Plurianual vigente.

Art. 24. Na programação da despesa não poderá ocorrer:

I - a fixação de despesas sem que estejam definidas as respectivas fontes de recursos e legalmente instituídas as Unidades Orçamentárias executoras;

II - a inclusão de projetos com a mesma finalidade em mais de uma Unidade Orçamentária.

Art. 25. Ficam autorizados os Poderes do Município, seus fundos, órgãos e entidades da administração direta e indireta, a abrirem créditos adicionais suplementares, conforme o art. 7º, inciso I, da Lei Federal nº. 4.320/64.

Parágrafo único. Os projetos de lei relativos a créditos adicionais especiais e/ou extraordinários, serão apresentados na forma e com o detalhamento estabelecido na Lei Orçamentária Anual.

Art. 26. É vedada, na Lei Orçamentária Anual e em seus créditos adicionais, a inclusão de dotações a títulos de subvenções sociais, ressalvadas aquelas destinadas a entidades privadas sem fins lucrativos, de atividades de natureza continuada, que atendam diretamente ao público, de forma gratuita, nas áreas de assistência social, saúde e educação.

Art. 27. A Lei Orçamentária Anual conterá reserva de contingência em montante de até 5% (cinco por cento) da Receita Corrente Líquida, destinada ao atendimento de passivos contingentes, riscos fiscais, abertura de créditos adicionais de natureza suplementar ou especial e emendas parlamentares.

Parágrafo único. Os riscos fiscais, caso se concretizem, serão atendidos com recursos da Reserva de Contingência e também, se houver, do excesso de arrecadação e do superávit financeiro do exercício de 2020.

Art. 28. Na proposta orçamentária para o exercício (LOA 2021), o Poder Executivo poderá ajustar as metas fiscais estabelecidas nesta Lei, se verificadas, quando da sua elaboração, alterações na legislação; sejam observadas mudanças na conjuntura e nos parâmetros econômicos utilizados para estimativa das receitas e despesas e no comportamento da execução orçamentária de 2020 de forma a garantir a suficiência de caixa.

CAPÍTULO IV

DAS DISPOSIÇÕES RELATIVAS ÀS DESPESAS COM PESSOAL E ENCARGOS SOCIAIS

Art. 29. As despesas com pessoal e encargos sociais serão fixadas, observando-se o disposto nas normas constitucionais aplicáveis, especificamente os artigos 18, 19 e 20 da Lei Complementar Federal nº 101/2000; na Lei Federal nº 9.717, de 27 de novembro de 1998, e na legislação municipal em vigor.

Art. 30. Conforme disposto no artigo 23 da Lei 101/2000, a Administração Pública Municipal poderá adotar medidas para reduzir as despesas com pessoal, tais como:

I - eliminação de vantagens concedidas a servidores;

II - eliminação das despesas com horas extras;

III - exoneração de servidores ocupantes de cargos em comissão;

IV - demissão de servidores admitidos em caráter temporário.

Art. 31. O Poder Executivo e o Poder Legislativo Municipal, mediante lei autorizativa, poderão criar ou ampliar cargos e funções, alterar a estrutura de carreiras, corrigir ou aumentar a remuneração dos servidores, conceder vantagens, admitir pessoal aprovado em concurso público ou em caráter temporário na forma da lei, observando os limites e as regras da Lei Complementar Federal nº 101/2000.

Parágrafo único. Os recursos para as despesas decorrentes destes atos deverão estar previstos na Lei Orçamentária anual para 2021 ou em créditos adicionais.

Art. 32. Caso seja atingido o limite prudencial de que trata o art. 22 da Lei Complementar nº. 101/2000, a convocação para prestação de horas suplementares de trabalho somente poderá ocorrer nos casos de calamidade pública, na execução de programas emergenciais de saúde pública ou em situações de extrema gravidade, devidamente reconhecida pelo Chefe do Poder Executivo.

CAPÍTULO V

DAS NORMAS DE EXECUÇÃO DO ORÇAMENTO

Art. 33. Até 30 (trinta) dias após publicação da Lei Orçamentária Anual, o Poder Executivo deverá fixar a programação financeira e o cronograma de desembolso, com o objetivo de compatibilizar a realização da despesa com o efetivo ingresso das receitas municipais.

Parágrafo único. Considerando eventuais déficits financeiros apurados nos Balanços Patrimoniais do exercício anterior, de forma a restabelecer o imediato equilíbrio do caixa, o Poder Executivo estabelecerá:

I - o desdobramento da receita prevista em metas bimestrais de arrecadação;

II - a programação financeira das receitas e despesas; e

III - o cronograma de execução mensal para suas Unidades Gestoras.

Art. 34. Na execução do orçamento, verificando que o comportamento da receita ordinária poderá afetar o cumprimento das metas de resultados primário e nominal, o Poder Legislativo e Executivo, de forma proporcional às suas dotações, adotarão o mecanismo da limitação de empenho e movimentação financeira nos montantes necessários.

Parágrafo único. Na avaliação do cumprimento das metas bimestrais de arrecadação para implementação, ou não, do mecanismo da limitação de empenho e movimentação financeira será considerado, ainda, o resultado financeiro apurado no Balanço Patrimonial do exercício anterior da Unidade Gestora, observada a vinculação da destinação de recursos.

Art. 35. Caso seja necessário a limitação de empenho das dotações orçamentárias e da movimentação financeira para atingir as metas fiscais, esta será feita de forma proporcional ao montante dos recursos alocados para o atendimento de outras despesas correntes e investimentos de cada Poder.

§ 1º A limitação de empenho para fins de alcançar o equilíbrio fiscal ficará vinculada ao contingenciamento orçamentário, com exceção das dotações orçamentárias das despesas de pessoal e operações especiais com amortizações, juros e encargos da dívida.

§ 2º Ficam os órgãos jurisdicionados ao Poder Executivo incumbidos de averiguações periódicas com vistas a serem atingidas as metas dos programas de governo com equilíbrio fiscal.

Art. 36. Os recursos decorrentes de emendas que ficarem sem despesas correspondentes ou alterarem os valores da receita orçamentária poderão ser utilizados mediante créditos suplementares e especiais, com prévia e específica autorização legislativa, nos termos do art. 166, § 8º, da Constituição Federal.

Art. 37. São vedados quaisquer procedimentos, pelos ordenadores de despesa, que viabilizem a execução de despesas sem o cumprimento dos artigos 15 e 16 da Lei Complementar Federal nº 101/2000 e sem a comprovação da suficiente disponibilidade de dotação orçamentária.

Art. 38. A Administração Pública Municipal, na realização das ações de sua competência, poderá destinar recursos direta ou indiretamente, a Entidades sem fins lucrativos, por meio de contribuições, auxílios, subvenções sociais e materiais de distribuição gratuita, desde que sejam compatíveis com os programas constantes de lei orçamentária anual.

Parágrafo único. Para fins do disposto neste artigo, entende-se por:

I - contribuições: dotações destinadas a atender despesas que não correspondam a contraprestação direta em bens e serviços e não sejam reembolsáveis pelo recebedor, bem como as destinadas a atender a despesas de manutenção de outras entidades de direito público e privado;

II - auxílios: dotações destinadas a atender despesas de investimentos ou de entidades privadas sem fins lucrativos;

III - subvenções sociais: dotações destinadas a atender despesas de instituições privadas sem fins lucrativos, de caráter cultural e assistencial, observado o disposto no art. 16, da Lei Federal nº 4.320/1964;

IV - material de distribuição gratuita: dotações destinadas a atender despesa com a aquisição de materiais de distribuição gratuita, tais como livros didáticos e benefícios que possam ser distribuídos gratuitamente, exceto os destinados a premiações culturais, artísticas, científicas, desportivas e outras.

Art. 39. Poderão ser realizadas transferências de recursos a título de subvenções econômicas a empresas públicas, de natureza autárquica, ou não, para a cobertura dos déficits de manutenção, de acordo com o artigo 18 da Lei 4320/64.

Art. 40. A contabilidade registrará os atos e fatos relativos à gestão orçamentária e financeira, efetivamente ocorridos, sendo obrigada a comunicar ao Poder Legislativo e ao Sistema de Controle Interno do Poder Executivo, a ocorrência de quaisquer falhas, num prazo máximo de 10 (dez) dias corridos.

CAPÍTULO VI

DAS DISPOSIÇÕES SOBRE ALTERAÇÕES NA LEGISLAÇÃO TRIBUTÁRIA

Art. 41. O Poder Executivo Municipal, poderá encaminhar ao Poder Legislativo projetos de lei propondo alterações na legislação, inclusive na que dispõe sobre tributos municipais, se necessários à preservação do equilíbrio das contas públicas, à capacidade econômica do contribuinte, à eficiência e modernização da máquina arrecadadora e, sempre, a justa distribuição de renda, contendo:

I - revisão do Código Tributário do Município com o objetivo de:

a) revisão e atualização da legislação sobre Imposto Predial e Territorial Urbano, suas alíquotas, forma de cálculo, condições de pagamento, descontos, isenções e imunidades, com ênfase nos vazios urbanos, em conformidade com o plano diretor aprovado;

b) aperfeiçoamento da legislação referente ao Imposto Sobre Serviços de Qualquer Natureza;

c) aperfeiçoamento da legislação aplicável ao Imposto sobre a Transmissão Inter Vivos e de Bens Imóveis e direitos reais sobre imóveis;

d) revisão e/ou aperfeiçoamento da legislação sobre taxas de serviços pelo exercício do poder de polícia;

e) revisão das isenções dos tributos municipais e incentivos fiscais, para manter o interesse público, a justiça fiscal e as prioridades do governo;

II - adequação da legislação tributária municipal em decorrência de alterações nas normas federais e/ou estaduais.

Art. 42. O Poder Executivo Municipal, autorizado em lei, poderá conceder ou ampliar benefício fiscal de natureza tributária com vistas a:

I - estimular o crescimento econômico;

II - estimular a geração de emprego e renda;

III - beneficiar contribuintes integrantes de classes menos favorecidas;

IV - conceder anistia para estimular a cobrança da dívida ativa.

Parágrafo único. Os benefícios de que trata este artigo devem ser considerados nos cálculos da estimativa da receita e ser objeto de estudos do seu impacto orçamentário e financeiro, no exercício em que iniciar sua vigência e nos dois subsequentes.

Art. 43. A lei que conceder ou ampliar incentivo ou benefício de natureza tributária somente poderá ser aprovada se atendidas às exigências do art. 14 da Lei Complementar federal nº 101/2000.

Parágrafo único. A estimativa do impacto orçamentário financeiro previsto neste artigo deverá ser elaborada ou homologada pela Secretaria Municipal de Finanças, acompanhada da respectiva memória de cálculo.

CAPÍTULO VII

DAS DISPOSIÇÕES GERAIS

Art. 44. As emendas ao projeto de Lei Orçamentária anual só serão admitidas, desde que:

I - Sejam compatíveis com a presente Lei;

II - indiquem os recursos necessários, admitidos apenas os provenientes de anulação parcial ou total de despesas, excluídas as que incidam sobre:

a) dotações para pessoal e seus encargos;

b) serviços da dívida;

c) transferências da União, convênios, operações de crédito, contratos, acordos, ajustes e instrumentos similares;

d) despesas referentes a vinculações constitucionais;

III - sejam relacionadas:

a) à correção de erros ou omissões;

b) aos dispositivos do texto do projeto de lei.

§ 1º Não serão admitidas emendas ao orçamento, transferindo dotações cobertas com receitas próprias de autarquias e fundos especiais, para atender programação a ser desenvolvida por outra entidade que não aquela geradora dos recursos e, ainda, incluindo quaisquer despesas que não sejam de competência e atribuição do Município.

§ 2º Não serão admitidas emendas cujos valores se mostrem incompatíveis e insuficientes à cobertura das atividades, dos projetos, das operações especiais, das metas ou despesas que se pretendam alcançar e desenvolver.

§ 3º É obrigatória a execução orçamentária e financeira da programação incluída na Lei Orçamentária Anual por emendas individuais do Poder Legislativo Municipal, nos termos dispostos nos §§ 8º a 16 do art. 138 da Lei Orgânica do Município, no limite de 1,2% da receita corrente líquida aprovada no projeto de lei orçamentária, sendo que, no mínimo 1/5 (um quinto) do valor total aprovado será destinado a ações e serviços de saúde.

§ 4º Para viabilizar a execução da emenda individual, será necessário:

I - estar em consonância com o Plano Plurianual – PPA;

II - ter razoabilidade de valores;

III - compatibilidade do objeto indicado com a finalidade da ação;

Art. 45. Os recursos que, em decorrência de veto, emenda ou rejeição do projeto de Lei Orçamentária Anual ficarem sem despesas correspondentes, deverão ser adicionadas à reserva de contingência.

Art. 46. O equilíbrio das finanças públicas deverá ser alcançado por meio de ajuste fiscal, destacando-se, neste, as seguintes medidas:

I - incremento da arrecadação mediante:

a) aumento real da arrecadação tributária;

b) recebimento da dívida ativa tributária.

II - controle de despesas mediante:

a) administração e controle de despesas com custeio administrativo e operacional;

b) administração e controle do pagamento da dívida bancária intra e extra limite, inclusive renegociação e aproveitamento de créditos;

c) execução de investimentos dentro da capacidade de desembolso do Município.

Art. 47. Se o Projeto de Lei Orçamentária anual para 2021 não for aprovado até o término do período legislativo em curso, a Câmara Municipal será imediatamente convocada, extraordinariamente, até que a matéria seja apreciada.

Parágrafo único. Na hipótese de o Projeto de Lei Orçamentária Anual para 2021 não ter sido devolvido para sanção do Poder Executivo até o dia 31 de dezembro de 2020, fica autorizada a execução de um doze avos (1/12) da programação constante dele, multiplicado pelo número de meses decorridos até a data de publicação da respectiva Lei.

Art. 48. A Lei Orçamentária anual autorizará o Chefe do Poder Executivo, nos termos do art. 7º, da Lei Federal nº 4.320/1964, a abrir créditos adicionais de natureza suplementar, até o limite de 30% (trinta por cento) do total da despesa fixada.

Art. 49. A reabertura dos créditos especiais e extraordinários, conforme o disposto no art. 167, § 2º da Constituição Federal, será efetivado mediante Decreto do Poder Executivo.

Art. 50. O Orçamento da Câmara Municipal de Goiânia não poderá ser inferior a 4,5% (quatro e meio por cento) da receita prevista no art. 29-A da Constituição Federal.

Art. 51. A Lei Orçamentária anual poderá conter dotações relativas a projetos a serem desenvolvidos por intermédio de consórcios públicos, conforme a regulamentação fixada pela Lei Federal nº 11.107, de 06 de abril de 2005 e Portaria nº 72, de 01 de fevereiro de 2012.

Art. 52. Esta Lei entrará em vigor na data de sua publicação.

GABINETE DO PREFEITO DE GOIÂNIA, aos 05 dias do mês de agosto de 2020.

IRIS REZENDE

Prefeito de Goiânia

Projeto de Lei autoria do Poder Executivo

Este texto não substitui o publicado no DOM 7354 de 05/08/2020.